Кинетической энергией механической системы называется сумма кинетических энергий всех точек этой системы (твердого тела).

где mk и vk — масса и скорость k-й материальной точки, принадлежащей данной системе.

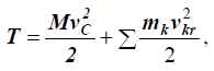
На основании теоремы Кёнига кинетическая энергия произвольной механической системы определяется по формуле

где M — масса всей системы;
vC — скорость центра масс системы;
mk — масса k-й точки системы;
vkr — относительная скорость k-й точки при движении её вокруг центра масс, т.е.
![]()
Из этой формулы можно получить следующие три частных случая формул для расчета кинетической энергии твёрдого тела:
- При поступательном движении тела

кинетичесая энергия определяется по формуле
- При вращении тела вокруг оси, проходящей через его центр масс,


формула кинетической энаргии твердого тела принимает вид

где J — момент инерции тела относительно оси, проходящей в данный момент времени через центр масс;
ω — угловая скорость вращения тела; - В случае произвольного движения тела (например при плоскопараллельном движении) механической системы
Далее: