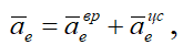
Ускорение Кориолиса — векторная величина, характеризующая изменение относительной скорости по направлению за счет переносного вращения и изменение величины переносной скорости за счет относительного движения.
Обозначается — aC

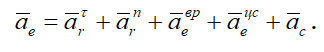
Согласно теореме Кориолиса, абсолютное ускорение точки в сложном движении определяется как геометрическая сумма относительного, переносного и кориолисова ускорений (рис. 3)

Поскольку, в данном случае, относительное движение происходит по прямой линии, относительное ускорение ar направлено вдоль этой прямой и определяется выражением

Переносным ускорением точки M является ускорение точки M диска. Диск совершает вращательное движение, следовательно, переносное ускорение определяется выражением

где aeвр = ε × OM — вращательное ускорение точки M, направленное перпендикулярно отрезку OM;
aeцс = ω2 × OM — центростремительное ускорение точки M, направленное к центру диска.
Ускорение Кориолиса или поворотное ускорение определяется по формуле
![]()
где ωe — переносная угловая скорость,
νr — относительная скорость точки.
Направление Кориолисова ускорения определяется по правилу векторного произведения или по правилу Жуковского.
Величина ускорения Кориолиса определяется выражением
![]()
где α – угол между векторами ωe и νr.
Рассмотрим, какой физический смысл заложен в ускорение Кориолиса. Для простоты будем считать, что диск вращается с постоянной угловой скоростью, а точка M движется относительно диска с постоянной относительной скоростью (рис.4).

Пусть в момент времени t1 точка M занимала положение M1 и имела относительную скорость νr1. За промежуток времени Δt точка M переместится в положение M2, при этом направление скорости νr изменится вследствие вращения диска. Вектор νr получит приращение Δνr.
Отношение
![]()
определяет среднее ускорение точки за промежуток времени Δt.
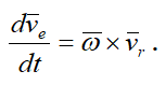
Предел этого отношения при Δt→0 есть производная
![]()
как производная от вектора постоянного по величине.
Рассмотрим, как изменяется переносная скорость в зависимости от относительного движения. В моменты времени t1 и t2 переносная скорость определяется выражениями

Тогда приращение вектора νe за счет относительного движения будет равно

Отношение
![]()
в пределе при Δt→0 дает производную

Таким образом, ускорение Кориолиса с одной стороны характеризует изменение относительной скорости по направлению за счет переносного вращения и, с другой стороны, изменение величины переносной скорости за счет относительного движения.

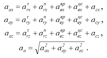
Абсолютное ускорение точки в сложном движении в общем случае определяется геометрической суммой пяти слагаемых ускорений

Для определения величины абсолютного ускорения удобнее пользоваться аналитическим методом сложения векторов:

Далее: