Поступательным называют движение, при котором любая прямая, связанная с телом, перемещается параллельно самой себе.

Рисунок 2.1
На рисунках 2.1,а и 2.1,б приведены примеры поступательного движения: движение прямоугольника в плоскости чертежа, движение каждой кабины колеса обозрения.

Рисунок 2.2
Исходя из определения поступательного движения, движение тела (рисунок 2.2) может быть задано в векторном виде формулой:
![]()
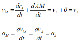
В этой формуле AM — вектор постоянный по величине и направлению, поэтому производная от него равна нулю. Для скорости и ускорения произвольной точки M получим:

То есть скорости и ускорения всех точек тела при поступательном движении равны и одинаково направлены, а траектории при наложении совпадают.
Для определения кинематических характеристик любых точек тела достаточно знать закон движения одной из них.
Далее: