Рассмотрим способы определения скоростей и ускорений точек вращающегося твердого тела:
При вращении твердого тела вокруг неподвижной оси каждая точка тела движется по окружности.

Радиус окружности R равен расстоянию от точки до оси вращения.
Закон движения точки может быть задан естественным способом (рисунок 2.4): траектория – окружность; начало отсчета точка O1 и положительное направление движения выбраны, длина дуги (дуговая координата) определяется по формуле
![]()
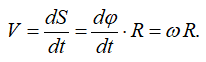
Скорости точек при вращении тела
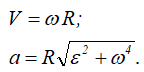
Скорость точки вращающегося твердого тела определяется выражением

где ω — угловая скорость вращения твердого тела.
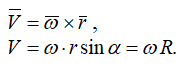
Скорость направлена по касательной к траектории, поэтому можно написать
![]()
Вектор скорости можно получить векторным произведением:

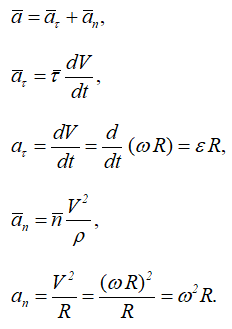
Ускорения точек тела при его вращении

Ускорение точки при естественном способе задания движения определяется как сумма касательного и нормального ускорений (см. вывод формулы (1.10)):

Эти же выражения можно получить, взяв производную от векторного произведения
![]()
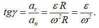
Угол, который составляет полное ускорение с радиусом, может быть определен из соотношения (рисунок 2.5)

То есть эти углы для всех точек тела одинаковы и не зависят от их расположения на теле.
На этом же рисунке представлены законы распределения скоростей и ускорений точек во вращающемся теле в зависимости от расстояния их до оси вращения. Эти законы распределения соответствуют формулам:

Далее: