Примеры решения задач, выполнения расчетно-графических, практических и контрольных работ по разделам:
для студентов очной, заочной и дистанционной форм обучения.
Раздел «Техническая механика»
Примеры решения задач технической и прикладной механики:
Задача
Определить реакции опор балки на двух опорах.

Дано: q=2кН/м, P=4кН, m=2кНм, a=2м.
Пример решения
Освободим балку от связей, отбросив опоры, и приложим вместо них неизвестные реакции, направив их, например, вверх.

Горизонтальная реакция в левой опоре A равна нулю, так как все усилия строго вертикальны.
Равномерно распределенную нагрузку можно заменить её равнодействующей силой Q
![]()
Для плоской системы параллельных сил достаточно двух уравнений равновесия.
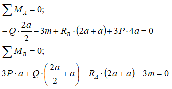
Составляем уравнения моментов относительно точек А и B:

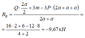
Из первого уравнения определяем реакцию RB

Значение реакции RB получено со знаком минус. Это означает, что она направлена в противоположную сторону (вертикально вниз).
Из второго уравнения — RA

Проверка
Для проверки правильности найденных реакций опор балки составляем уравнение суммы вертикальных сил:

Следовательно, реакции RA и RB определены верно.
Ответ: RA=13,67кН; RB=9,67кН (направлена вниз).
Другие примеры решения задач технической механики по разделам:
Раздел «Теоретическая механика»
Примеры решения задач теоретической и инженерной механики по разделам кинематика, статика и динамика:
Задачи по кинематике
Решения задач по темам кинематики:
Кинематика точки
- Положение точки на траектории, ее скорость, полное, касательное и нормальное ускорения, радиус кривизны траектории
- Траектория точки, скорость и ускорение, путь, пройденный точкой
- Модуль полного ускорения и угол с вектором скорости
- Параметры движения точки
- Вид траектории, скорость точки, полное, касательное, нормальное ускорения и радиус кривизны траектории
- Угол между вектором ускорения и радиусом
- Расчет скорости и ускорения точки кривошипа
Кинематика твердого тела
- Сколько оборотов сделает колесо
- Скорость и ускорение точки обода и груза
- Угловая скорость вала
- Скорость точки на ободе диска, её ускорение и угол между вектором ускорения и радиусом диска
- Скорость и ускорение точки
- Ускорение точки
- Угловая скорость и угловое ускорение, скорости и ускорения точек тела.
- Определение положения мгновенного центра скоростей
Другие примеры решения задач кинематики
Задачи по статике
Решения задач по темам статики:
- Определение модуля и направления равнодействующей системы сходящихся сил
- Составление уравнений суммы моментов сил относительно точки
- Определение реакции шарнира и опоры
- Определение реакций связей аналитическим и графическим способом
- Определение реакций стержней треугольной системы, удерживающей два груза
- Определение реакций опор балки, когда сила приложена под углом
- Определение опорных реакций для разных способов нагружения
- Реакции в шарнирах
- Реакции опор и шарнира
- Вес груза для равновесия тела
- Коэффициент трения, обеспечивающий равновесие
- Угол наклона плоскости, при котором цилиндр начнет скатываться
- Вес противовеса и реакции шарниров
- Величина груза для равновесия и реакции подшипников
- Определение реакций подшипников пространственно нагруженного вала
- Определение координат центра тяжести
- Определение усилий в стержнях
- Натяжение троса и реакция опоры
- Реакции опор в точках системы
- Опорные реакции невесомой конструкции
- Опорные реакции в скользящей заделке
- Расчет реакций в бискользящей и глухой заделках
- Реакции в скользящей заделке
- Натяжение бесконечного ремня
- Расчет усилия в стержне
- Определение силы для удержания тела на шероховатой наклонной плоскости
- Расчет силы для подъема тела по наклонной плоскости
Задачи по динамике
Решения задач по темам динамики:
- Расчет силы сопротивления воздуха
- Определение закона движения точки
- Определение уравнений движения точки
- Определение закона относительного движения
- Расчет скорости тела в заданный момент
- Расчет ускорения груза и натяжения нитей
- Определение обобщенных сил механической системы
- Определение средней ударной силы
- Расчет среднего сопротивления грунта
- Угловая скорость после удара
- Коэффициент полезного действия при ударе
- Определение горизонтального перемещения
- Горизонтальное движение корпуса двигателя
- Время необходимое для увеличения скорости в n раз
- Импульс сил действующих на точку
- Закон изменения скорости
- Проекции главного вектора реакций
- Угол, образуемый скоростью с линией действия силы
- Расчет угловой скорости барабана
- Угловая скорость системы
- Определение тормозного пути
- Расчет угловой скорости кривошипа
- Реакция гладкой горизонтальной поверхности
- Угол отклонения стержня от вертикали
- Определение величины момента уравновешивающего силу
- Определение реакции опоры с помощью принципа возможных перемещений
- Определение обобщенной силы
- Определение ускорения треугольной призмы
- Определение углового ускорения
- Определение уравнения колебаний
Другие примеры решения задач теоретической механики
Раздел «Сопротивление материалов»
Примеры решения задач и РГР по темам растяжение-сжатие, кручение, изгиб и сложное сопротивление:
Растяжение-сжатие
Примеры решения задач по теме растяжения и сжатия стержней и стержневых систем.
Кручение
Примеры решения задач и РГР на тему кручение валов.
Изгиб
Примеры решения задач и РГР по теме плоский поперечный изгиб балок и рам.
Сложное сопротивление
Задачи по темам: косой изгиб, внецентренное нагружение, изгиб с кручением и промежуточные расчеты.
Другие примеры решения задач сопротивления материалов
Раздел «Теория механизмов и машин»
Примеры решения задач теории механизмов и машин: расчеты, анализ, кинематическое исследование и проектирование механизмов:
- Исследование и проектирование плоских рычажных механизмов
- Структурный анализ плоского механизма
- Кинематическое исследование плоского механизма
- Построение положений звеньев механизма
- Построение графика перемещений заданного звена
- Построение диаграмм скоростей и ускорений методом графического дифференцирования
- Кинематическое исследование механизма методом планов скоростей и ускорений
- Аналитический метод кинематического исследования плоских рычажных механизмов
- Силовой расчет плоского рычажного механизма
- Кинематический анализ и геометрический синтез зубчатого механизма
- Динамический синтез кулачкового механизма
- Построение графиков движения толкателя
- Определение величины окружности минимального радиуса кулачка
- Построение профиля кулачка
- Определение усилия пружины, обеспечивающей силовое замыкание высшей пары
Примеры расчетов по типам механизмов:
- Структурный анализ и синтез механизмов
- Кинематическое исследование механизмов
- Аналитический метод кинематического исследования
- Кинетостатический анализ механизмов
- Трение в кинематических парах
- Кинематика зубчатых механизмов. Синтез планетарных и дифференциальных механизмов
Все рассмотренные примеры решения задач сопровождаются необходимыми иллюстрациями, пояснениями и ссылками на соответствующие темы технической механики.
Дополнительно: