Определение координат центра тяжести xC и yC плоских фигур сложной формы выполняется при решении задач для последующих расчетов других геометрических характеристик, например, таких как радиусы инерции и моменты инерции поперечных сечений.
Рассмотрим способы и пример определения координат положения центра тяжести фигуры нестандартной формы.
Способы определения координат центра тяжести
Способы определения координат центров тяжести твердых объёмных тел и плоских фигур можно получить исходя из полученных ранее общих формул для расчета положения центра тяжести.
Существует 5 способов расчета координат положения центра тяжести сложных тел и фигур:
- Аналитический (путем интегрирования).
- Метод симметрии. Если тело имеет плоскость, ось или центр симметрии, то его центр тяжести лежит соответственно в плоскости симметрии, оси симметрии или в центре симметрии.
- Экспериментальный. (метод подвешивания тела).
Этот способ подходит в основном для плоских и линейных тел. - Разбиение. Тело или фигура разбивается на конечное число частей (простых тел или фигур), для каждой из которых положение центра тяжести C и площадь A известны.
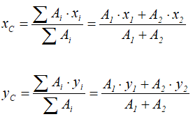
Например, проекцию тела на плоскость xOy (рисунок 1.8) можно представить в виде двух плоских фигур с площадями A1 и A2 (A = A1+ A2).
Рисунок 1.8Центры тяжести этих фигур находятся в точках C1(x1, y1) и C2(x2, y2). Тогда координаты центра тяжести тела равны:

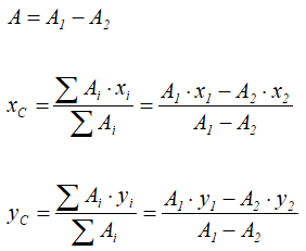
- Дополнение (Метод отрицательных площадей или объемов).
Это частный случай предыдущего способа разбиения. Он применяется к телам, имеющим вырезы, если центры тяжести тела без выреза и вырезанной части известны.
Например, необходимо найти координаты центра тяжести плоской фигуры (рисунок 1.9):
Рисунок 1.9Тогда координаты центра тяжести фигуры с отверстием можно определить по формулам:

При решении задач по определению координат центра тяжести плоских фигур и объемных тел применяются последние два способа (разбиение и дополнение).
Пример определения координат центра тяжести сложной фигуры в нашем коротком видео:
Пример определения координат центра тяжести плоской фигуры
Задача
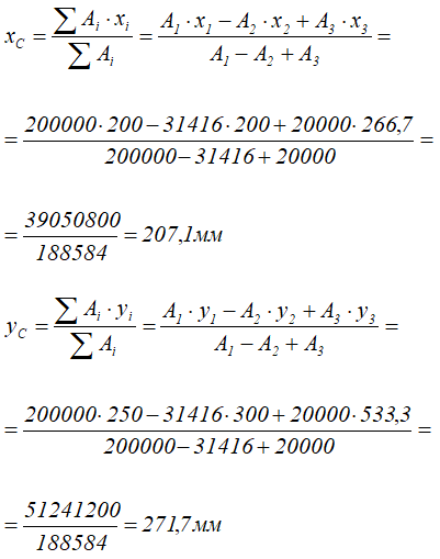
Определить координаты центра тяжести плоской фигуры с круглым отверстием

Решение
Через нижнюю левую точку фигуры проведем координатные оси x и y.
Разделим заданное сечение на простые фигуры – прямоугольник, круг и прямоугольный треугольник.

Рассчитаем необходимые для решения задачи площади A и координаты x, y центров тяжести Ci отдельных фигур:
Прямоугольник (фигура 1)
Площадь
A1 = 400×500=200000 мм2
Положение центра тяжести
x1 = 200 мм
y1 = 250 мм

Круг (2) (вычитаемая фигура)
Площадь
A2 = π×2002/4 = 31416 мм2
Координаты центра тяжести круга:
x2 = 200 мм
y2 = 300 мм
Прямоугольный треугольник (3)
Площадь
A3 = 400×100/2 = 20000 мм2
Положение центра тяжести треугольника находится на пересечении его медиан (на расстоянии 1/3 высоты от основания или 2/3 высоты от его вершин)
x3 = 400×2/3 = 266,7 мм
y3 = 500+100×1/3 = 533,3 мм
Координаты x и y центра тяжести C всей плоской фигуры определим по формулам:

Ответ: Таким образом, центр тяжести заданной фигуры находится в точке C с координатами xC = 207,1 мм, yC = 271,7 мм.

Далее: