Центром тяжести называется геометрическая точка, жестко связанная с телом, и являющаяся центром параллельных сил тяжести, приложенных к отдельным элементарным частицам этого тела (рисунок 16).

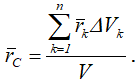
Радиус-вектор этой точки

Для однородного тела положение центра тяжести тела не зависит от материала, а определяется геометрической формой тела.
Если удельный вес однородного тела γ, вес элементарной частицы тела

подставить в формулу для определения rC, получим

Откуда, проецируя на оси и переходя к пределу, выводим формулы координат центра тяжести однородного твердого тела объемом V

Аналогично для координат центра тяжести однородной поверхности площадью S (рисунок 17)


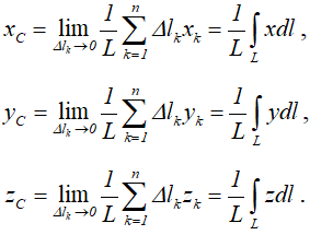
Для координат центра тяжести однородной линии длиной L (рисунок 18)


Далее: