Рассмотрим вывод формул для определение величины и направления скоростей точек при плоскопараллельном движении твердого тела.
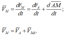
Скорость точки в плоскопараллельном движении определяется как геометрическая сумма скорости полюса и скорости точки во вращательном движении фигуры вокруг полюса.

При движении фигуры в плоскости (рисунок 2.14) положение её точек можно определить соотношением:
![]()
В данном случае точка A является полюсом. Скорость точки M

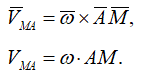
Производная от вектора, постоянного по величине и переменного по направлению, есть вращательная скорость

Вектор угловой скорости ω в данном случае перпендикулярен плоскости фигуры: VAM ⊥ AM.
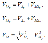
Численная величина скорости может быть найдена по теореме косинусов:
![]()
или проецированием векторного равенства на оси координат:

Далее: