Подборка формул для расчета валов и брусьев на кручение и решения задач сопротивления материалов по расчету внутренних моментов, касательных напряжений, деформаций и углов закручивания при кручении.
Обозначения:
τ — касательные напряжения,
T – внутренний крутящий момент,
Ip – полярный момент инерции сечения вала,
Wp – полярный момент сопротивления сечения,
[τ] – допустимое напряжение,
G – модуль упругости II рода (модуль сдвига),
ρ — расстояние от центра сечения до рассматриваемой точки,
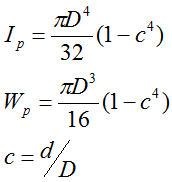
D – внешний диаметр вала,
d – внутренний диаметр вала кольцевого сечения.
Закон Гука при кручении (чистом сдвиге)

Расчет касательных напряжений в произвольной точке сечения вала

Условие прочности при кручении (проверочный расчет)

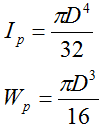
Формулы полярных моментов инерции и сопротивления
- для вала сплошного (круглого) сечения

- для вала кольцевого сечения

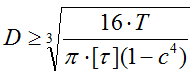
Формулы для подбора диаметра вала по условию прочности
- сплошное круглое сечение

- кольцевое сечение

Абсолютные деформации (угол закручивания участков вала)

Перемещение (угол поворота) сечений.

Далее: