Векторный способ задания движения точки определяет в любой момент времени её положение на плоскости или в пространстве вектором-функцией r проведенным из неподвижной точки O.
![]()
Этот вектор откладывается от неподвижной точки, выбранной за начало отсчета, его конец определяет положение движущейся точки.

Годограф r, т.е. положение концов этого вектора в пространстве, определяет траекторию движущейся точки.
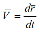
Ее скорость в этом случае определяется как производная от радиуса-вектора и направлена по касательной к годографу r (по касательной к траектории движения точки, рисунок 1.1).

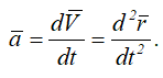
Ускорение точки (изменение ее скорости) при векторном способе задания движения определяется как производная от скорости:

Вектор ускорения направлен по касательной к годографу вектора скорости (рисунок 1.2).

Далее: