Теоретическая механика (сокр. — теормех) — это наука, изучающая общие законы движения, равновесия и механических взаимодействий между материальными телами.
Навигация по разделу
Механическое взаимодействие между материальными телами, изучаемое в курсе теоретической механики, является простейшим и одновременно самым распространенным видом взаимодействия между физическими объектами.
Механическое движение, будучи самым простым видом движения, является одним из фундаментальных свойств материи.
Разделы теоретической механики
Курс теоретической механики состоит из трёх разделов: кинематики, статики и динамики.

- Кинематика – часть механики, в которой изучаются зависимости между величинами, характеризующими состояние движения систем, но не рассматриваются причины, вызывающие изменение состояния движения.
- Статика – это учение о равновесии совокупности тел некоторой системы отсчета.
- Динамика – часть механики, в которой рассматривается влияние сил на состояние движения систем материальных объектов.
В этих разделах исследуются простейшие логические модели, на которые могут быть разложены объекты техники и природы, дается научный метод познания законов механического движения систем.
Во многих технических университетах, раздел "Статика" преподаётся студентам перед "Кинематикой", так как знание статики необходимо для понимания следующего предмета "Сопротивление материалов", изучаемого одновременно с теоретической механикой, на втором курсе высших учебных заведений.
Основные темы дисциплины
Основные темы разделов теоретической механики:
Перейти к разделу:
Кинематика
Темы раздела "Кинематика":
- Введение в кинематику
- Кинематика точки
- Кинематика твердого тела
- Задачи кинематики твердого тела
- Поступательное движение
- Поступательное движение твердого тела
- Вращательное движение твердого тела
- Плоское движение (ППД) твердого тела
- Плоскопараллельное движение твердого тела
- Скорости точек при ППД
- Теорема о скоростях точек при плоском движении
- Следствие из теоремы о скоростях точек
- Следствие из теоремы о скоростях точек в ППД
- Мгновенный центр скоростей
- Определение МЦС
- Ускорения точек в ППД
- Теорема об ускорении точек в ППД
- Мгновенный центр ускорений
- Частные случаи МЦУ
- Сложное движение точки
- Сферическое движение
Статика
Темы раздела "Статика":
- Введение в статику
- Основные понятия и определения
- Равновесие системы
- Система сходящихся сил
- Исследование равновесия тела под действием плоской системы сил
- Составные и соединенные конструкции
- Сила трения
- Произвольная пространственная система сил
- Центр тяжести
Динамика
Темы раздела "Динамика":
- Введение в раздел "Динамика"
- Законы динамики Ньютона
- Динамика точки
- Динамика материальной точки
- Движение механической системы
- Связи
- Классификация сил
- Принцип Даламбера
- Принцип возможных перемещений
- Общее уравнение динамики
- Принцип Даламбера для материальной точки
- Принцип Даламбера для механической системы
- Приведение сил инерции точек твердого тела к центру масс
- Возможные перемещения
- Принцип виртуальных перемещений
- Принцип Даламбера-Лагранжа
- Обобщенные координаты
- Обобщенные силы
- Общее уравнение динамики в обобщенных силах
- Уравнения Лагранжа второго рода
- Кинетический потенциал
- Циклические координаты
- Уравнения Лагранжа второго рода для системы с одной степенью свободы
- Уравнения Лагранжа второго рода для системы с двумя степенями свободы
- Масса механической системы
- Кинетическая энергия
- Работа силы
- Теорема об изменении кинетической энергии
- Закон сохранения механической энергии
- Механическая система
- Центр масс механической системы
- Теорема о движении центра масс механической системы
- Теорема об изменении количества движения материальной точки
- Теорема об изменении количества движения механической системы
- Теорема об изменении момента количества движения (кинетического момента) материальной точки
- Теорема об изменении момента количества движения (кинетического момента) механической системы
- Дифференциальное уравнение вращательного движения твердого тела вокруг неподвижной оси
- Теория удара
Задачи теоретической механики
Задачи и РГР по теоретической механике с решениями.
Перейти к разделу:
Задача
Кривошип OA длиной L = 1,2 м, соединяющий центры двух дисков вращается относительно точки O с угловой скоростью ω и угловым ускорением ε.

Требуется определить скорость v и полное ускорение a точки A в заданный момент времени, когда угловая скорость ω = 5 с-1 и угловое ускорение ε = 7 с-2.
Решение
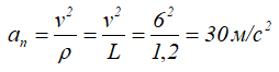
Точка движется по окружности, т.е. по траектории с радиусом кривизны ρ = L = 1,2 м.
Окружную скорость точки A определим зная угловую скорость и длину кривошипа.
![]()
Направление скорости точки определяем по угловой скорости кривошипа

Полное ускорение точки A складывается из двух составляющих:

касательного (тангенциального) ускорения aτ, направленного перпендикулярно линии кривошипа по угловому ускорению ε
![]()
и нормального an, направленного к центру вращения

Полное ускорение точки определяется векторной суммой нормального и касательного ускорений.

![]()
По схеме видно, что угловая скорость и угловое ускорение разнонаправлены, следовательно, вращение кривошипа в данный момент замедляется.

Ответ: Скорость точки A v = 6 м/с, полное ускорение a = 31,15 м/с2
Другие решения задач:
Задачи кинематики
Решения задач по темам кинематики:
Кинематика точки
- Положение точки на траектории, ее скорость, полное, касательное и нормальное ускорения, радиус кривизны траектории
- Траектория движения точки, скорость и ускорение, путь, пройденный точкой
- Модуль полного ускорения и угол с вектором скорости
- Параметры движения точки
- Вид траектории, скорость точки, полное, касательное, нормальное ускорения и радиус кривизны траектории
- Угол между вектором ускорения и радиусом
- Расчет скорости и ускорения точки кривошипа
Кинематика твердого тела
- Сколько оборотов сделает колесо
- Скорость и ускорение точки обода и груза
- Угловая скорость вала
- Скорость точки на ободе диска, её ускорение и угол между вектором ускорения и радиусом диска
- Скорость и ускорение точки
- Ускорение точки
- Угловая скорость и угловое ускорение, скорости и ускорения точек тела.
- Определение положения мгновенного центра скоростей
- Задачи на расчет скоростей
- Задачи на расчет ускорений
Задачи статики
Решения задач по темам статики:
- Определение модуля и направления равнодействующей системы сходящихся сил
- Составление уравнений суммы моментов сил относительно точки
- Определение реакции шарнира и опоры
- Определение реакций связей аналитическим и графическим способом
- Определение реакций стержней треугольной системы, удерживающей два груза
- Определение реакций опор балки, когда сила приложена под углом
- Определение опорных реакций для разных способов нагружения
- Реакции в шарнирах
- Реакции опор и шарнира
- Вес груза для равновесия тела
- Коэффициент трения, обеспечивающий равновесие
- Угол наклона плоскости, при котором цилиндр начнет скатываться
- Вес противовеса и реакции шарниров
- Величина груза для равновесия и реакции подшипников
- Определение реакций подшипников пространственно нагруженного вала
- Определение координат центра тяжести
- Определение усилий в стержнях
- Натяжение троса и реакция опоры
- Реакции опор в точках системы
- Опорные реакции невесомой конструкции
- Опорные реакции в скользящей заделке
- Расчет реакций в бискользящей и глухой заделках
- Реакции в скользящей заделке
- Натяжение бесконечного ремня
- Расчет усилия в стержне
- Определение силы для удержания тела на шероховатой наклонной плоскости
- Расчет силы для подъема тела по наклонной плоскости
- Решение практических заданий
Задачи динамики
Решения задач по темам динамики:
- Расчет силы сопротивления воздуха
- Определение закона движения точки
- Определение уравнений движения точки
- Определение закона относительного движения
- Расчет скорости тела в заданный момент
- Расчет ускорения груза и натяжения нитей
- Определение обобщенных сил механической системы
- Определение средней ударной силы
- Расчет среднего сопротивления грунта
- Угловая скорость после удара
- Коэффициент полезного действия при ударе
- Определение горизонтального перемещения
- Горизонтальное движение корпуса двигателя
- Время необходимое для увеличения скорости в n раз
- Импульс сил действующих на точку
- Закон изменения скорости
- Проекции главного вектора реакций
- Угол образуемый скоростью с линией действия силы
- Расчет угловой скорости барабана
- Угловая скорость системы
- Определение тормозного пути
- Расчет угловой скорости кривошипа
- Реакция гладкой горизонтальной поверхности
- Угол отклонения стержня от вертикали
- Определение величины момента уравновешивающего силу
- Определение реакции опоры с помощью принципа возможных перемещений
- Определение обобщенной силы
- Определение ускорения треугольной призмы
- Определение углового ускорения
- Определение уравнения колебаний
Изучение теоретической механики в вузах
Целью изучения дисциплины "Теоретическая механика" является формирование необходимой базы знаний для изучения последующих технических дисциплин по профилю будущей профессиональной деятельности, таких как сопротивление материалов и ТММ, а также:
- выработка практических навыков решения задач механики путем изучения методов и алгоритмов построения математических моделей движения или состояния рассматриваемых механических систем, а также методов исследования этих математических моделей;
- воспитание естественнонаучного мировоззрения на базе изучения основных законов природы и механики.
В вузах, изучение предмета начинается со второй половины 1 курса и длится 3 семестра (на изучение каждого раздела отводится по одному семестру).
По итогам каждого учебного семестра студенты сдают экзамен или зачет по изученному разделу.
Учебная литература
Для самостоятельного изучения предмета можно использовать следующую учебную литературу и материалы:
- Тарг С.М. — Краткий курс теоретической механики
- Яблонский А.А., Никифорова В.М. Курс теоретической механики
- Добронравов В.В., Никитин Н.Н. Курс теоретической механики
- Тарг С.М. "Методические указания и контрольные задания для студентов"
- Яблонский А.А. Сборник заданий для курсовых работ
- Пособия к решению задач
Навигация по разделу
Другие разделы механики: