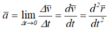
Ускорением точки называют меру изменения ее скорости движения, равную производной по времени от скорости этой точки или второй производной от радиус-вектора точки по времени.

Ускорение характеризует изменение вектора скорости по величине и направлению и, при криволинейном движении, всегда направлено в сторону вогнутости траектории.
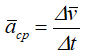
Среднее ускорение

характеризует изменение вектора скорости за малый промежуток времени Δt.
Ускорение точки в данный момент времени

В следующих разделах подробно рассмотрены формулы и способы определения величины и направления составляющих абсолютного ускорения точек твердого тела при различных характерах и способах задания движения:
- Определение ускорения точки при координатном способе задания движения
- Определение ускорения при естественном способе задания движения
- Ускорения точек в плоскопараллельном движении
- Мгновенный центр ускорений
- Ускорение Кориолиса
- Определение ускорений точек в сложном движении
- Ускорения точек при сферическом движении
- Примеры определения ускорений точек и твердых тел
Далее: