Центр параллельных сил это точка, при повороте вокруг которой всех сил системы на один и тот же угол, линия действия равнодействующей системы параллельных сил повернется в ту же сторону на тот же угол.
Рассмотрим систему параллельных сил {F1, F2, …, Fn}.
При повороте всех сил системы на один и тот же угол α линия действия равнодействующей системы параллельных сил повернется в ту же сторону на тот же угол вокруг некоторой точки (рисунок 15).

Эта точка является центром параллельных сил.
Согласно теореме Вариньона, если система сил имеет равнодействующую, то ее момент относительно любого центра или оси равен сумме моментов всех сил системы относительно того же центра (оси).
Воспользуемся этой теоремой для определения координат центра параллельных сил.
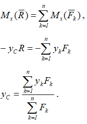
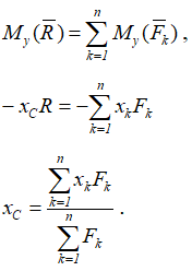
Относительно оси x

Относительно оси y

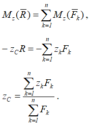
Чтобы определить координату zC, повернем все силы на 90° так, чтобы они стали параллельны оси y (рисунок 16).

Тогда

Следовательно, формула для определения радиус-вектора центра параллельных сил принимает вид

Свойства центра параллельных сил:
- Сумма моментов всех сил Fk относительно точки C всегда равна нулю

- Если все силы повернуть на некоторый угол α, не меняя точек приложения сил, то центр новой системы параллельных сил будет той же точкой C.
Далее: