Модуль Юнга (также: модуль упругости Ⅰ рода, модуль продольной упругости) – механическая характеристика материалов, определяющая их способность сопротивляться продольным деформациям.
Физический смысл: показывает степень жесткости материала.
Назван в честь английского ученого Томаса Юнга.
Обозначается латинской прописной буквой E
Единица измерения – Паскаль [Па].
В сопротивлении материалов модуль продольной упругости используется в расчетах на жесткость при растяжении-сжатии и изгибе, а также в расчетах сжатых стержней на устойчивость.
Учитывая то, что практически все конструкционные материалы имеют значение E высокого порядка (как правило, 109 Па), его размерность часто записывают с помощью кратной приставки «гига» (гигапаскаль [ГПа]=109Па)
Для всех материалов величину модуля Юнга можно определить в ходе эксперимента по определению модуля упругости Ⅰ рода.
Определение модуля упругости
Для стали, приближенное значение модуля продольной упругости можно определить по диаграмме напряжений получаемой при испытаниях на растяжение.

В этом случае модуль Юнга равен отношению нормальных напряжений к соответствующим относительным деформациям, на участке диаграммы (рис. 1) до предела пропорциональности σпц (тангенсу угла α наклона участка пропорциональности к оси деформаций ε).

В таблице 1 приведены сравнительные значения модуля Юнга для некоторых, наиболее часто используемых материалов.
| Материал | Модуль Юнга E, [ГПа] |
|---|---|
| Сталь | 200 |
| Чугун | 120 |
| Серый чугун | 110 |
| Алюминий | 70 |
| Дюралюминий | 74 |
| Титан | 120 |
| Бронза | 100 |
| Латунь | 95 |
| Медь | 110 |
| Олово | 35 |
| Хром | 300 |
| Никель | 210 |
| Кремний | 110 |
| Свинец | 18 |
| Бетон | 20 |
| Дерево | 10 |
| Стекло | 70 |
| Резина | 0,002 |
Применение модуля Юнга для расчета деформаций
Модуль упругости Ⅰ рода является коэффициентом пропорциональности в формуле, описывающей закон Гука:
![]()
Связка модуля Юнга с геометрическими характеристиками поперечных сечений бруса показывает их жесткость:
EA – жесткость поперечного сечения при растяжении-сжатии,
где A – площадь поперечного сечения стержня;
EI – жесткость поперечного сечения балки при изгибе (изгибная жесткость),
где I – осевой момент инерции сечения балки.
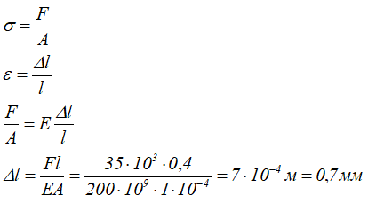
Пример расчета деформации:
Задача
Стальной стержень (модуль Юнга E=200ГПа) растянут силой F=35кН. Площадь поперечного сечения стержня A=1см2, длина l=40см.

Определим удлинение стержня.
Решение
Для расчета деформации стержня перепишем закон Гука с использованием заданных параметров, откуда выразим и рассчитаем его удлинение

Таким образом, удлинение стержня составило 0,7мм.
Нетрудно заметить, что замена материала стержня на бронзу с модулем Юнга E=100МПа приведет к увеличению деформации в два раза, до 1,4мм.
Далее: