Мгновенный центр скоростей (МЦС) — при плоскопараллельном движении связанная с плоской фигурой или твердым телом точка, скорость которой в данный момент равна нулю.

Другими словами МЦС это положение точки, относительно которой происходит поворот тела в заданном положении и в данный момент времени.
В этот момент скорости всех точек тела пропорциональны расстоянию до мгновенного центра скоростей.
Точка положения МЦС обозначается латинскими буквами C или P с нижним индексом V, например, CV или PV.
Такая точка существует в каждый момент времени движения тела, меняя свое положение.
В некоторых случаях (при поступательном движении тела) точка МЦС удаляется на бесконечно большое расстояние (будет рассмотрено ниже).
Теорема Эйлера-Шаля доказывает, что любое непоступательное перемещение фигуры в плоскости можно осуществить поворотом вокруг некоторого неподвижного центра.
В соответствии с этим легко доказывается, что при плоскопараллельном движении в каждый момент времени существует точка, неизменно связанная с плоской фигурой, скорость которой в этот момент равна нулю. Эту точку называют мгновенным центром скоростей.

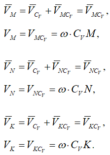
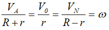
При определении положения МЦС скорость любой точки может быть записана:
![]()
где точка CV выбрана за полюс.
Поскольку это МЦС и VCV=0, то скорость любой точки определяется как скорость при вращении вокруг мгновенного центра скоростей:

Из рис. 17 видно, что мгновенный центр скоростей лежит в точке пересечения перпендикуляров, проведенных к скоростям точек, при этом всегда справедливо соотношение

Далее показаны положения мгновенного центра скоростей и приведены формулы для расчета скоростей точек.
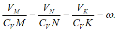
Для звена AB кривошипно-шатунного механизма:
Кривошип OA вращается относительно точки O, поэтому скорость точки A всегда направлена по касательной к окружности радиусом OA.

Положение 1.
Частный случай 1, CV совпадает с точкой B скорость которой в данном положении VB=0. Шатун AB вращается вокруг точки B.

Положение 2.
Мгновенный центр скоростей находится в точке пересечения линий, перпендикулярных направлению скоростей точек A и B.

Положение 3.
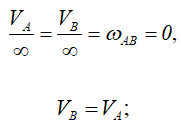
Частный случай 2, МЦС отдалён в «бесконечность», т.к. векторы скоростей параллельны.

Положение 4.
Аналогично положению 2.

Пример определения мгновенного центра скоростей
МЦС при вращении тел и фигур:


Для этих случаев

При прямолинейном и поступательном движении:

Здесь векторы скоростей точек равны и параллельны
![]()
В этом случае МЦС находится в “бесконечности”, т.е.

При качении тел мгновенный центр скоростей находится в точке контакта колеса с поверхностью:
Колесо или цилиндр радиусом R катится по ровной поверхности.


Сдвоенное колесо (или кольцо) с радиусами R и r.


Колесо с гребнем (ребордой).


Формулы справедливы при отсутствии проскальзывания в точке CV.
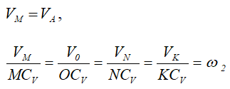
МЦС системы подвижных блоков:
Нерастяжимая нить удерживает подвижный блок 2 и перемещается через неподвижный блок 1.
Для простого блока


Для двойного блока


Далее: