Подборка формул для расчета балок и рам на изгиб и решения задач сопротивления материалов по расчету внутренних сил, напряжений, деформаций и перемещений при изгибе.
Обозначения:
σ — нормальные напряжения,
τ — касательные напряжения,
Qy – внутренняя поперечная сила,
Mx – внутренний изгибающий момент,
Ix – осевой момент инерции сечения балки,
Wx – осевой момент сопротивления сечения,
A — площадь поперечного сечения,
[σ], [τ] – соответствующие допустимые напряжения,
E – модуль упругости I рода (модуль Юнга),
y — расстояние от оси x до рассматриваемой точки сечения балки.
Расчет внутренних поперечных сил и изгибающих моментов

Формула кривизны балки в заданном сечении

Расчет нормальных напряжений в произвольной точке сечения балки при изгибе

Условие прочности по нормальным напряжениям при изгибе (проверочный расчет)

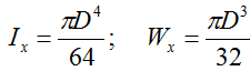
Осевые моменты инерции I и сопротивления W
- прямоугольного сечения

h – высота сечения,
b – ширина сечения балки. - круглого сечения балки

D — диаметр сечения
Касательные напряжения в произвольной точке сечения при изгибе определяются по формуле Журавского:

Sx* — статический момент относительно оси x отсеченной части сечения
b — ширина сечения на уровне рассматриваемой точки
Условие прочности балки по касательным напряжениям

Дифференциальное уравнение линии изогнутой оси балки

Уравнения метода начальных параметров (МНП)

θz, yz — соответственно угол наклона и прогиб сечения балки на расстоянии z от начала координат,
θ0, y0 — соответственно угол наклона и прогиб сечения балки в начале координат,
m, F, q — соответственно все изгибающие моменты, сосредоточенные силы и распределенные нагрузки приложенные к балке,
a, b — расстояние от начала координат до сечений где приложены моменты и силы соответственно,
c — расстояние от начала координат до начала распределенной нагрузки q.
Далее: