Метод сечений (иногда его называют РОЗУ) — наиболее удобный способ определения внутренних силовых факторов для построения их эпюр, который рассматривает равновесие отсеченных частей бруса.
Аббревиатура РОЗУ — расшифровывается так:
- Рассекаем (мысленно) брус на две части;
- Отбрасываем одну из частей;
- Заменяем ее действие внутренними усилиями;
- Уравновешиваем рассматриваемую часть определяя величину внутренних силовых факторов.
Данный метод используется при построении эпюр, например внутренних поперечных сил и изгибающих моментов для балки.
Суть метода сечений
Брус рассекается на две части и рассматривается только одна его часть, а воздействие на нее другой части заменяется соответствующими внутренними усилиями, которые определяются из условия равновесия.

Рассмотрим его на примере прямого бруса, к которому приложена произвольная плоская система нагрузок. Отметим, что указанная система нагрузок удерживает брус в неподвижном (статичном) положении.
Обозначим характерные точки бруса:

Эти точки одновременно являются границами силовых участков бруса, т.е. данный брус имеет 5 силовых участков.
Для того чтобы определить внутренние усилия например на участке DK в любом месте участка проведем сечение которое условно делит брус на две части, в данном случае левую и правую:

Зная, что весь брус изначально статичен, можно утверждать, что так же будет статичен любой его фрагмент, включая обе показанные части.
Для определения внутренних усилий можно выбрать любую из них, при этом результаты расчетов будут одинаковы. Поэтому для упрощения вычислений принято выбирать ту часть, к которой приложено меньше нагрузок.

В данном случае к левой части приложено 4 усилия, а к правой всего два.

Здесь выбор правой части бруса снижает вероятность ошибки при расчетах.
Выбрав оптимальную часть бруса, обозначим расстояние от ближайшей границы силового участка до рассматриваемого сечения переменной z.

На данном участке сечение может занимать любое положение между точками K (где z=0) и D (где z равно длине участка DK), включая сами эти точки.


Это записывается как 0≤z≤DK.
Затем для каждого внутреннего силового фактора записываются выражения в виде суммы соответствующих внешних нагрузок приложенных к рассматриваемой части бруса.
Далее рассчитываются их значения на границах силовых участков при z=0 и z=DK.
В случаях, когда переменная z в выражениях имеет степень 2 или выше (т.е. эпюра будет иметь вид параболы) можно рассчитать величину внутренних сил для промежуточных положений сечения, например при z=DK/2.

Указанные действия необходимо проделать по каждому силовому участку.
По полученным данным строятся необходимые эпюры.
Порядок построения эпюр методом сечений:
- Определяются опорные реакции,
- Определяется количество силовых участков бруса,
- В пределах каждого участка брус делится на две части поперечным сечением,
- Выбирается часть, к которой приложено меньше нагрузок,
- Записываются необходимые выражения для внутренних силовых факторов,
- Рассчитываются значения для характерных положений сечения,
- Строятся эпюры.
Метод РОЗУ
Данный метод расчета внутренних усилий в брусе является аналогом метода сечений.
Принцип метода РОЗУ:
- Разрезаем (мысленно) находящийся в равновесии под действием внешних сил брус в интересующем нас месте на две части;
- Отбрасываем одну из частей (обычно ту, к которой приложено больше внешних нагрузок);
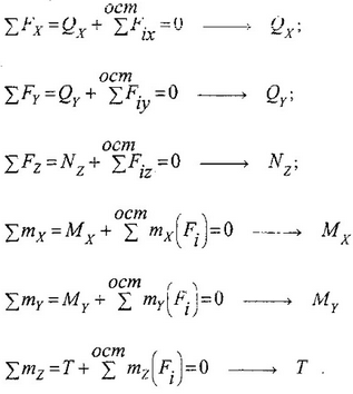
- В общем случае заменяем действие отброшенной части на оставшуюся часть шестью внутренними силовыми факторами (усилиями);
- Каждый внутренний силовой фактор определяем из соответствующего уравнения равновесия:

Для определения наиболее нагруженного (опасного) сечения обычно строят графики изменения внутренних силовых факторов по длине бруса (эпюры), при этом брус разбивается на силовые участки.
Далее: