Примеры построения эпюр при решении задач сопротивления материалов, строительной и технической механики со всеми расчетами, подробными пояснениями и видеоуроками.
Примечание: студентам строительных специальностей эпюры изгибающих моментов надо строить на растянутых слоях балки, поэтому положительные значения Mx необходимо откладывать вниз, а отрицательные — вверх от базовой линии.
Рассмотрим пару упрощенных и несколько максимально подробных примеров построения эпюр внутренних силовых факторов, напряжений и перемещений для всех способов закрепления и нагружения балок, стержней и валов.
Построение эпюр Qy и Mx для консольной балки
Для заданной консольной балки требуется построить эпюры внутренних силовых факторов Qy и Mx.

Пример решения
Вычерчиваем расчетную схему нагружения балки в масштабе, с указанием числовых значений приложенных нагрузок.
Показываем оси системы координат y-z и обозначаем характерные сечения балки.

Для консольных балок, при построении эпюр внутренних силовых факторов, опорные реакции можно не определять.
При расчете значений Qy и Mx методом сечений, достаточно рассматривать противоположную от заделки часть балки, где все внешние усилия известны.
Балка имеет 2 силовых участка.
Рассчитаем, с учетом правил знаков при изгибе, значения внутренних поперечных сил и изгибающих моментов в сечениях балки на каждом силовом участке методом сечений.

На первом участке оба силовых фактора рассчитаны.
Переходим ко второму участку балки


Так как эпюра Qy на втором силовом участке не пересекает базовую линию, экстремума на эпюре Mx не будет.
По полученным данным строим эпюры внутренних поперечных сил Qy и изгибающих моментов Mx.

При ручном оформлении решения, эпюры заштриховываются тонкими линиями перпендикулярно базовой (нулевой) линии. Оформление в электронном виде допускает сплошную однородную заливку площади эпюры.
Проверка построенных эпюр:
- по дифференциальным зависимостям

- в сечениях балки, где приложены сосредоточенные силы, на эпюре Qy имеются скачки значений на величину соответствующей силы;
- в сечениях балки, где приложены изгибающие моменты, на эпюре Mx скачки значений на величину соответствующего момента.
Все условия выполнены, следовательно, эпюры построены верно.
Пример построения эпюр для балки на двух опорах
Для заданной расчетной схемы балки на двух шарнирных опорах требуется определить значения и построить эпюры внутренних поперечных сил и изгибающих моментов.

Решение
При построении эпюр для участков балки расположенных между опорами необходимо знать величину хотя бы одной из реакций.
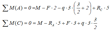
Определение реакций в шарнирных опорах балки
Направим реакции опор, например, вверх

и запишем, с учетом правила знаков, суммы моментов нагрузок приложенных к балке относительно точек на опорах

Из составленных уравнений выражаем и находим реакции

Положительные значения указывают на то, что произвольно заданное направление реакций оказалось верным.

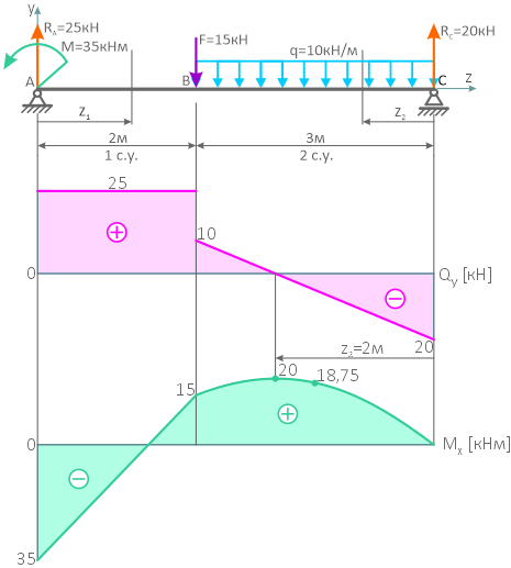
Расчет и построение эпюр
Используя метод сечений и соответствующие правила знаков, рассчитаем по каждому участку значения для построения эпюр.
Балка имеет 2 силовых участка.

На первом участке расчет произведем, рассматривая левую отсеченную часть балки

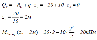
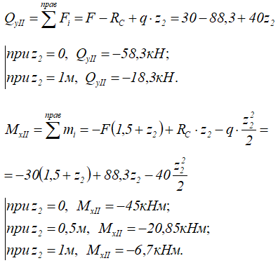
На втором силовом участке рациональнее выбрать правую часть

Значения поперечной силы Qy на границах участка имеют разные знаки, следовательно, на этом участке, на эпюре Mx будет экстремум.
Определим его значение:

По полученным данным строим эпюры внутренних поперечных сил и изгибающих моментов.

Алгоритм проверки эпюр показан в решении предыдущей задачи.
Более подробно ход расчетов и построения эпюр для балки с тремя силовыми участками рассмотрен в следующих примерах.
Подробные примеры построения эпюр
При растяжении-сжатии
Примеры построения эпюр внутренних продольных сил, нормальных напряжений и линейных перемещений для стержней при их растяжении и сжатии.
- Построение эпюры внутренних продольных сил
- Эпюра нормальных напряжений в стержне
- Эпюры внутренних сил, напряжений и перемещений для стального бруса
- Построение эпюры внутренних продольных сил для стержня с продольно распределенной нагрузкой
- Расчет напряжений с построением эпюры в стержне заданной формы
- Эпюра перемещений сечений стержня
- Построение эпюр для статически неопределимого стержня
При кручении
Примеры построения эпюр внутренних крутящих моментов и угловых перемещений сечений вала при кручении.
- Построение эпюры крутящих моментов для вала
- Построение эпюр крутящих моментов и углов закручивания сечений вала
Построение эпюр при изгибе
Примеры построения эпюр внутренних поперечных сил и изгибающих моментов, нормальных и касательных напряжений в балках и рамах при изгибе.
Эпюры внутренних силовых факторов
- Построение эпюр поперечных сил Qy и изгибающих моментов Mx для балки (3 участка)
- Эпюра внутренних поперечных сил
- Эпюра внутренних изгибающих моментов балки
- Построение эпюр для рамы
- Проверка эпюр внутренних силовых факторов в рамах
Эпюры напряжений
- Эпюра нормальных напряжений двутавра
- Эпюра касательных напряжений для двутавра
- Эпюра нормальных напряжений прямоугольного сечения
Видеоурок расчетов для построения эпюр внутренних силовых факторов для балки:
Другие видео
Другие примеры решения задач
Порядок построения эпюр
Для построения эпюр внутренних силовых факторов выполняется следующая последовательность действий:
- Вычерчивается (в масштабе) расчетная схема элемента с указанием всех размеров и приложенных внешних нагрузок

Расчетная схема балки - Обозначаются характерные сечения бруса;
- Определяются опорные реакции

Опорные реакции балки - Определяется количество силовых участков

Обозначение силовых участков - На каждом силовом участке проводится сечение (метод РОЗУ) и рассматривается одна из отсеченных частей бруса (балки)

Внутренние силовые факторы в рассматриваемом сечении балки
записываются выражения для рассчитываемых внутренних силовых факторов

Расчет поперечной силы и изгибающего момента на участке балки - Рассчитываются значения на границах участков. В случаях, когда переменная в выражении имеет вторую или более степень можно дополнительно определить значение в середине участка;
- В некоторых случаях необходимо определять экстремумы эпюр;
- После расчета всех значений выполняется построение эпюр

Эпюры поперечных сил и изгибающих моментов для балки
После построения эпюр рекомендуется выполнять их проверку.
Далее: