Сопротивление материалов (сокр. — сопромат) — это инженерная наука, изучающая методы расчёта элементов машин и сооружений на прочность, жесткость и устойчивость для обеспечения их надежной и безопасной эксплуатации.
Другими словами, сопромат — это грамотное проектирование конструкций.
Навигация по разделу
С точки зрения сопромата, машины и сооружения должны быть надежными, но при этом желательно, чтобы они были как можно легче и дешевле.
Для этого студентам, обучающимся на инженерных специальностях необходимо изучать теоретические и экспериментальные основы и методы расчета наиболее распространенных элементов конструкций, находящихся под воздействием внешних нагрузок, на прочность, жесткость и устойчивость, с учетом требований надежности, экономичности, технологичности изготовления, удобства транспортировки и монтажа, а также безопасности при эксплуатации.
Разделы сопромата
Курс сопротивления материалов состоит из следующих основных разделов:

- Введение и основные понятия
- Теория напряженного состояния
- Основные виды деформаций
- Растяжение и сжатие
- Кручение
- Изгиб
- Сложное сопротивление
- Расчеты на устойчивость
- Динамические нагрузки
- Другие виды расчетов.
Основные темы сопротивления материалов
Основные темы и положения сопромата по разделам:
- Общие положения
- Механические характеристики материалов
- Диаграмма растяжения
- Диаграмма напряжений
- Упругие и остаточные деформации
- Предел пропорциональности
- Предел текучести
- Предел прочности (временное сопротивление)
- Предел упругости
- Модуль упругости I рода (модуль Юнга)
- Модуль упругости II рода (модуль сдвига)
- Коэффициент Пуассона (поперечной деформации)
- Геометрические характеристики плоских сечений
- Теория напряженного состояния
- Растяжение и сжатие
- Кручение
- Плоский поперечный изгиб
- Внутренние поперечная сила и изгибающий момент
- Эпюры поперечных сил и изгибающих моментов
- Напряжения и расчет на прочность при изгибе
- Деформации при изгибе
- Перемещения при изгибе. Методы расчета
- Метод начальных параметров
- Энергетические методы определения перемещений при изгибе
- Интеграл Мора
- Способ Верещагина
- Метод Симпсона
- Сложное сопротивление
- Устойчивость элементов конструкций
- Динамическое нагружение
- Расчеты на прочность при напряжениях, циклически изменяющихся во времени
- Оболочки и трубы
Задачи сопротивления материалов
Основные задачи по разделам сопромата:
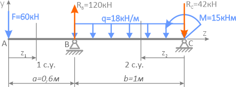
Расчет балки
Для стальной двухопорной балки с консолью в левой части, нагруженной силой, моментом и распределенной нагрузкой как показано на схеме

требуется:
- Построить эпюры поперечных сил Qy и изгибающих моментов Mx;
- Определить опасное сечение балки;
- По условию прочности подобрать номер стандартного швеллера.
Решение
Швеллер для балки подбирается по максимальному значению изгибающего момента в опасном сечении, которое определяется по эпюре Mx.
Для построения эпюр необходимо сначала рассчитать реакции в шарнирных опорах.
Вычерчиваем в масштабе расчетную схему нагружения балки, с указанием числовых значений приложенных нагрузок.
Показываем оси системы координат y-z и обозначаем характерные сечения балки.
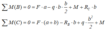
Определение реакций в шарнирных опорах балки.
Направим реакции опор вверх

и запишем уравнения суммы моментов нагрузок приложенных к балке относительно точек на опорах

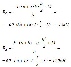
Из составленных уравнений выражаем и находим величину реакций.

Здесь, отрицательное значение реакции в точке C говорит о том, что она направлена в противоположную сторону (в данном случае вниз).

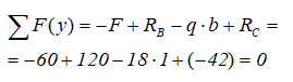
Выполним проверку найденных реакций опор, спроецировав все силы на вертикальную ось y

Равенство суммы проекций сил нулю показывает, что реакции опор определены верно.
Построение эпюр внутренних силовых факторов
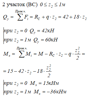
Для построения эпюр внутренних силовых факторов определим значения поперечных сил и изгибающих моментов в сечениях балки на каждом силовом участке методом РОЗУ.
Балка имеет 2 силовых участка.

Проводим сечение в произвольном месте 1-го участка и рассматриваем левую отсеченную часть балки

Для сечения 2-го участка расчет значений будем вести по нагрузкам правой части балки.

Так как значения Qy второго силового участка меняются линейно и на границах имеют одинаковый знак, на эпюре Mx экстремума не будет.
По результатам вычислений построим эпюры.

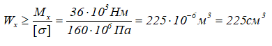
Подбор размеров сечения балки по условию прочности
Опасным является сечение балки, в котором изгибающий момент принимает максимальное значение. Это сечение B где Mx=-36кНм.
Из условия прочности на изгиб

выразим и определим минимальное значение момента сопротивления сечения, при котором будет обеспечена прочность балки

По сортаменту прокатной стали выбираем швеллер №24 с моментом сопротивления Wx=242см3
Задачи на растяжение и сжатие
Подборка задач по теме "растяжение и сжатие стержней и стержневых систем при продольном нагружении":
- Определение опорной реакции прямого стержня при растяжении-сжатии
- Расчет опорной реакции в заделке стержня с продольно распределенной нагрузкой
- Построение всех эпюр для стержня
- Построение эпюры внутренних продольных сил N
- Построение эпюры внутренних продольных сил для стержня с продольно распределенной нагрузкой
- Расчет величины и направления внутренней силы в растягиваемом стержне
- Определение внутренних усилий в шарнирно-стержневой системе
- Подбор диаметра стержня по условию прочности
- Расчет нормальных напряжений в стержне и построение их эпюры
- Проверка на прочность прямого ступенчатого стержня
- Проверка стержневой системы на прочность при растяжении-сжатии
- Расчет размеров стороны квадратного сечения стержня
- Подбор размеров поперечного сечения стержня заданной формы
- Расчет напряжений в стержне с построением эпюр
- Расчет величины допустимой силы
- Расчет грузоподъемности стального стержня
- Расчет деформаций участков стержня
- Расчет и построение эпюры перемещений
- Расчет статически неопределимого стержня
Задачи на кручение
Несколько задач по теме "скручивание валов под действием крутящих моментов":
- Определение неизвестного момента при кручении
- Построение эпюры крутящих моментов
- Расчет стального вала
- Подбор диаметров вала по условию прочности
- Расчет мощности передаваемой валом
Задачи на изгиб
Примеры задач по теме "плоский поперечный изгиб балок под действием систем внешних нагрузок":
- Определение опорных реакций
- Построение эпюр
- Расчеты на прочность
- Подбор сечений
- Расчет деформаций и перемещений
Другие типы задач сопромата
Обзор специальных задач сопротивления материалов:
- Расчет напряжений
- Определение положение центра тяжести сложного сечения
- Определение положения центра тяжести составной фигуры, расчет главных центральных моментов и радиусов инерции, построение эллипса инерции
- Определение реакций в опорах рамы
- Перемещение точки нити перекинутой через блок
Подробные примеры решения задач
Изучение дисциплины в вузах
Сопротивление материалов является одной из фундаментальных дисциплин общеинженерной подготовки специалистов в сфере высшего технического образования.
Основные характеристики и строение металлов и других материалов рассматриваются в курсах «Материаловедение» и «Теория конструкционных материалов».
Студенты высших технических учебных заведений приступают к изучению дисциплины в начале второго курса, после освоения раздела «статика» курса теоретической механики.
Изучение дисциплины включает выполнение расчетно-графических и лабораторных работ с последующей защитой. По итогам пройденного курса сдается экзамен.
Навигация по разделу "Сопромат"
Другие разделы механики: